Multiple tenants on a lease agreement pose challenges for every landlord renting to roommates, couples, or groups. When sharing one contract, tenants face joint liability; if one fails to pay or follow the rules, everyone listed risks late fees, eviction, and disputes.
Landlords also have extra legal requirements: they must draft detailed leases, apply fair screening to all applicants, and watch for local occupancy limits and fair housing laws.
This guide shares the top 10 tips and legal rules for landlords managing multiple tenants on a lease in 2025, including how to set solid agreements and handle mid-lease changes smoothly.
What Is a Multiple Tenant Lease?

A “multiple tenants on a lease agreement” case is a legal contract signed by two or more people who share full responsibility for a rental unit. Each tenant on the lease agrees to pay the rent, follow the lease rules, and care for the property.
This type of lease creates joint and several liability, which means every tenant listed is responsible for the entire rent and any lease violations, not just their portion.
This setup is common when roommates, couples, or friends rent a place together. Everyone on the lease must pay the full rent each month. If one tenant moves out or fails to pay, the others must cover the amount owed.
Landlords can collect rent from any single tenant or all tenants. It’s important for everyone to understand they are in a shared agreement.
Landlords should draft clear leases. The lease must spell out all tenants’ responsibilities, rules, and procedures. Clear leases help reduce confusion and avoid disputes. Landlords should screen all tenants who are 18 and over, do thorough background and credit checks, and verify incomes, to protect themselves.
Difference Between Co-Tenants and Roommates-at-Will
- Co-tenants sign a single shared lease and share legal and financial responsibility equally. They hold joint liability for rent and damages. If a co-tenant leaves, they usually stay liable until the lease ends unless released by a lease addendum or new agreement.
 
Remaining tenants must either pay the full rent or find a replacement tenant approved by the landlord.
- Roommates-at-will do not have a joint lease. They may rent their rooms individually with no shared legal responsibility. This means one roommate’s issues don’t affect others. However, this setup can cause problems with shared bills or property damage.
 
For landlords, managing co-tenants requires clear contracts and open communication. You can find customizable lease agreement templates and thorough tenant background screening services to help manage multiple tenants effectively.
Legal Requirements for Renting to Multiple Tenants

There are a few legal things landlords need to keep in mind. Along with the usual rental laws, you also have to follow rules around fair housing, local occupancy limits, and, in some areas, rent control.
Fair Housing Laws
The Fair Housing Act makes it illegal to treat tenants differently based on things like race, religion, disability, or family status. You’re renting to multiple tenants on a lease, so you need to use the same screening process for everyone. Being fair and consistent helps protect you legally and creates a better experience for everyone involved.
Rent Control, Occupancy Limits, and Local Regulations
Many cities and states have rent control laws or rules that limit how many people can legally live in a rental unit. For example, a common guideline is the "2+1" rule, which permits two people per bedroom plus one additional person for the entire unit.
These limits are often based on square footage or the number of bedrooms, and may also place restrictions on the number of unrelated adults living together.
This is especially important to understand if you're creating a lease for a group of roommates. In some cases, you might need to submit documentation or pass an inspection to remain in compliance.
If you're using a lease addendum to add or remove a tenant during the lease term, make sure those changes don’t cause the household to exceed local occupancy limits.
How Does Multiple Tenants On a Lease Work?

A multiple-tenant lease is a legal agreement. Two or more people sign the same contract. They share responsibility for a rental unit. This lease is common when roommates, couples, or friends rent a place together.
When all tenants sign, they are equally responsible for the full rent. They also must follow all lease terms. This is called joint and several liability. If one person misses a payment, the others must cover it.
Legally, a landlord can collect rent or damages from any or all tenants on the lease. This helps tenants work together and pay on time.
Financial Responsibility Under a Multiple-Tenant Lease
Each tenant is responsible for the full rent. They are not just responsible for their share. Tenants cannot split payments on their own without approval. This is because the landlord expects one full payment for the whole unit. This setup makes rent collection simple. It also protects landlords from partial or missed payments.
Security deposits usually cover the entire unit. They are held as one total amount. Refunds or deductions for damages and unpaid rent come from this one deposit. If tenants have a dispute about who owes what, they must solve it themselves.
Landlords return the deposit in one payment. This is true even if tenants move out or the group changes. You can learn more about how to handle security deposits for your property in a comprehensive guide.
Handling Roommate Changes and Replacements
If a tenant wants to leave early, the lease stays active for everyone else. The person leaving is still liable until the lease ends. They are also liable until a new tenant is approved and added to the lease. Tenants should inform the landlord in writing about their move-out plans.
Landlords typically need a lease addendum or a new lease for tenant swaps. The new tenant must complete a full screening. This includes credit, background, and income checks. A thorough tenant background screening protects the property and other tenants.
Lease changes might be needed. This can be to split rent or update lease terms. Landlords should do a new move-in inspection with the new tenant. They should take photos to avoid later disputes over property damage.
Legal Considerations for Multiple Tenants
All tenants on a lease must be 18 or older. They must also be able to sign contracts. Each tenant should be included equally to follow fair housing laws. Each tenant gets notices, like rent reminders or eviction notices. Landlords must follow the notice requirements and eviction procedures of their local area.
Eviction notices, like an N4 or an L1 application, apply to all tenants on the lease. This is true no matter who violated the terms. When filing an eviction, landlords must include all tenants to avoid legal issues. Guidance on the eviction process can be found in a trusted eviction notice guide.
10 Landlord Tips for Managing Multiple Tenants on One Lease

Managing multiple tenants on a lease brings extra challenges. When several people sign one lease, everyone must follow the rules and pay their share. Landlords face unique issues around payments, communication, and responsibilities.
The right tools and clear agreements make managing easier. Here are 10 practical tips landlords can use in 2025.
1. Encourage a Roommate Agreement
The lease covers legal rules, but a roommate agreement helps tenants sort daily living details. It covers how rent, utilities, chores, and deposits are divided. Everyone should sign it. A good roommate agreement tracks shared responsibilities and house rules, helping tenants cooperate and avoid conflicts.
2. Appoint a Tenant Representative
Pick one tenant as a contact person. This tenant collects rent from roommates and handles communication with the landlord. This streamlines payments and messages, so important info isn’t lost or confused. The representative can also help with maintenance requests and reminders for others.
3. Set a Single Rent Collection Point
Collect rent through one account or platform. One payment from the tenant rep or the main tenant prevents missed or late payments. Modern online rent collection tools allow easier tracking and automatic late notices if rent is past due. This system reduces confusion and makes enforcement simpler.
4. Avoid Dividing the Security Deposit
Collect a single total security deposit for the entire unit, not separate deposits for each tenant. This protects landlords if tenants leave with damage or unpaid rent. The lease should explain how the deposit is held, used for repairs, and refunded. Clear deposit handling reduces refund disputes.
5. Require Individual Renters’ Insurance
Ask tenants to get their own renters’ insurance. Insurance covers personal belongings and liability, reducing landlord risks from tenant accidents or damages. This also encourages tenants to take responsibility for their space and actions inside the property.
6. Screen All Replacement Tenants
When a tenant wants to leave, landlords must approve replacements. Require full screening for new tenants, including credit and background checks. Never just swap names on the lease without a new agreement or screening. This protects landlords from bad tenants and keeps the binding contract in good standing.
7. Document Everything
Keep clear records of payments, communications, repairs, and inspections. Documentation helps in evictions or disputes over damages or unpaid rent. Take photos on move-in and move-out to document property conditions. Good records protect landlords and tenants alike.
8. Refer Internal Disputes Back to the Lease
If tenants argue about rent splits or rules, don’t get involved directly. Instead, point them to the lease terms or the roommate agreement. This encourages tenants to handle shared responsibilities and keeps landlord-tenant relationships smooth.
9. Conduct Proactive Inspections
Schedule regular property inspections with proper notices. Inspections catch maintenance issues early and help ensure tenants follow the lease. Giving tenants 24-48 hours’ notice respects their privacy while keeping compliance.
10. Automate Payments and Communication
Use digital tools to automate rent payments and send reminders. Automation reduces late payments and missed notices. It also keeps communication clear and fast, improving relationships. Digital systems help landlords monitor rent past due and avoid surprises with multiple tenants on a lease.
By following these tips, landlords can manage multiple tenants on a lease confidently. Clear lease agreements, tenant screening, communication, and documentation reduce risks and protect income. Well-managed multi-tenant leases also improve tenant satisfaction and reduce disputes.
Leverage tools like LeaseRunner for accessible lease agreement templates, tenant background screening, and online rent collection to streamline management.
Pros and Cons of Multiple-Tenant Lease Agreement for Landlords
Putting multiple tenants on a lease can work really well for landlords, but it’s not without a few challenges. Let’s take a quick look at the benefits and potential drawbacks.
How to Draft a Multiple-Tenant Lease Agreement
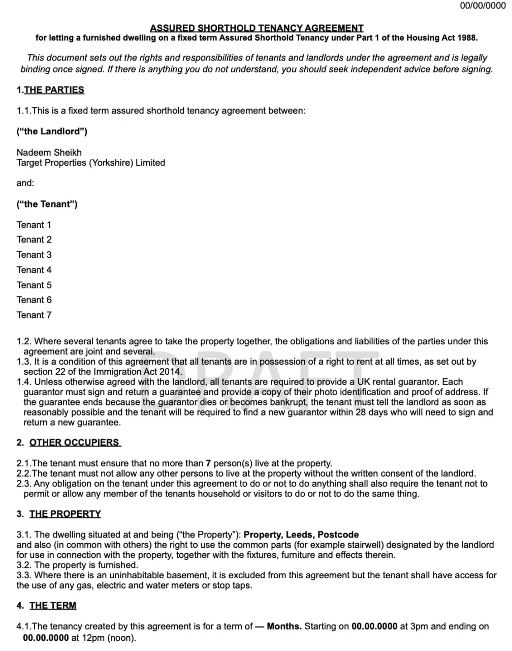
A good place to start is with a solid multiple tenant lease agreement template. You will want a lease that clearly outlines the rights and responsibilities of all tenants, together and individually, to avoid confusion or legal issues down the road.
Key Lease Clauses to Include
What should be in a lease agreement? When managing multiple tenants on a lease, the lease should be detailed and clear.
- Rent amount and due date: Clearly state the total rent amount due each month (not split amounts per person). All tenants are responsible for the full rent.
 - Security deposit terms: Detail how the deposit is handled at move-in, how deductions will be assessed at move-out, and how it will be returned.
 - Utilities and services: Spell out which utilities are included, and who’s responsible for setting up and paying for those that aren't.
 - Maintenance responsibilities: Define who takes care of minor maintenance versus what you, as the landlord, will handle.
 - Guest policies and shared spaces: Set expectations for overnight guests, parties, and how common areas should be maintained.
 - Move-in/move-out procedures: Outline how inspections, keys, and cleaning responsibilities will be handled.
 
Each clause should treat all tenants equally and apply to the entire group, not individuals.
Joint and Several Liability
This is one of the most important clauses to include when renting to multiple tenants on a lease. Each tenant is fully responsible for the rent and any damage to the property.
So, if one person can’t or won’t pay, the others are legally required to cover the full amount. This protects landlords and encourages tenants to keep each other accountable. It also applies whether it’s a fixed-term or month-to-month lease.
Subletting, Adding, or Removing Tenants
Life changes, and roommate situations often do too. Your lease should include a section that explains:
- Subletting: Is it allowed? If so, under what terms and with what approvals?
 - Adding a new tenant: What screening process must be completed before someone new can join the lease?
 - Removing a tenant: How does this affect rent, security deposits, and the status of the remaining tenants?
 
This section protects landlords from having unscreened tenants living in the unit.
Here’s a simple lease template section built for multiple tenants on a lease, with the key clauses mentioned above.

[Source: Multiple tenant lease agreement template]
Plus, you can look at the LeaseRunner Lease Agreement Template library. Our forms are tailored to each state, follow the law, and are easy to adjust. After that, you can add specific clauses that fit the needs of having multiple tenants.
How to Handle When One Tenant Wants to Leave?
When there are multiple tenants on a lease, conflicts may arise. People living together might have problems over noise, cleaning, expenses, or guests. How landlords handle these issues helps keep the property in good shape and tenants happy. Strong rules and clear communication make a difference.
Common Issues
Some of the most common problems among tenants sharing a lease are:
- Noise complaints: Different lifestyles or schedules can lead to noise that disturbs others. For example, one tenant might work night shifts while another keeps regular hours.
 - Cleaning and maintenance: Shared spaces like kitchens and bathrooms often cause tension if some tenants don’t clean regularly. This may lead to fights or damage.
 - Paying bills or rent: Tenants sometimes argue over who owes what or when payments are due.
 - Guest policies: Frequent visitors by one tenant can annoy others or raise concerns over security.
 
Conflict Prevention and Resolution Strategies
Preventing problems begins with clear rules in the lease agreement. Lease clauses should set noise limits, cleaning duties, guest rules, and how rent and utilities must be paid. For example, the lease can state quiet hours and require tenants to share utility costs fairly.
Landlords should encourage tenants to talk openly and respectfully. When conflicts happen, landlords must act fast. Listen without taking sides and remind everyone of the lease terms. If needed, suggest mediation. A simple meeting helps clear tensions before they flare further.
Handling a Tenant Leaving Mid-Lease
When a tenant wants to leave multiple tenants on a lease, several steps are important:
- The departing tenant remains legally responsible until the lease ends or they are formally released through a lease addendum.
 - Remaining tenants are still liable to pay the entire rent.
 - The tenant should inform the landlord in writing of their departure.
 - The landlord may require a replacement tenant. The new tenant must be screened with background or credit checks and income verification.
 - A new or modified lease agreement may be signed to update tenants’ names and responsibilities.
 - If the departing tenant owes money, landlords can seek it through small claims court or collection agencies.
 
Document changes carefully with move-in and move-out condition reports and updated contracts to avoid disputes.
Legal and Practical Tips
Be aware of notice requirements. Most areas require tenants to give 30–60 days’ notice before moving out. Landlords must provide eviction notices to all tenants on the lease if eviction becomes necessary. Landlords also follow specific eviction rules depending on their landlord-tenant jurisdiction.
Clear leasing and communication practices minimise conflicts when managing multiple tenants on a lease. Sharing a property does not mean splitting rent and responsibilities informally; everyone must understand and respect their joint liabilities.
For additional resources, landlords can learn more about room rental leasing tips, tenant screening, and how to legally handle lease changes.
Best Practices for Landlords Managing Multiple Tenants
Managing multiple tenants on a lease requires clear policies and thoughtful communication. Changes in tenant groups are common. For example, one tenant might move out of a shared lease.
Without strong management, these changes can cause disputes or missed rent. Landlords who follow proven steps have smoother transitions and fewer risks. The following steps show how landlords can handle tenant departures and replacements well.
What to Do When One Tenant Moves Out: 5 Steps
Handling one tenant leaving requires proper planning and clear talks. Here are five important steps:
Step 1: Review the Lease Agreement
Your lease is your main guide. Most leases with multiple tenants have rules for when one person leaves early. Typically, all tenants on the lease are jointly responsible. This means they are still responsible for the full rent. This is true until the lease ends or a new tenant moves in. Knowing these rules protects everyone.
Step 2: Communicate with the Remaining Tenants
Talk to the tenants who are staying. Ask them how they want to handle rent and the empty space. Sometimes, they will pay the full rent until a new person is found. Open talks stop rent disputes and build cooperation. It also helps you guess how long the unit will be vacant.
Step 3: Determine Rent Responsibilities
The tenants who stay must know they are responsible for all of the rent. You can collect rent from any or all tenants. Tenants in a shared unit cannot pay their rent on their own without your permission. This single payment point makes financial management easier and ensures timely rent.
Step 4: Inspect the Unit
When a tenant moves out, inspect the space carefully. Use photos and a checklist to record the condition. Good move-in and move-out reports help you avoid disputes over security deposits. They also clearly show who is responsible for the damage.
Step 5: Adjust Security Deposits
Based on your lease, decide how to handle the security deposit. You can take out money for damages or unpaid rent. You should also fairly split any refunds among the remaining tenants. When you manage multiple tenants, it is often easier to keep the deposit as one total amount.
Replacing or Screening New Tenants
Adding a new tenant after one leaves needs to follow proper steps. This helps keep the lease valid and tenants happy.
- Landlord Approval Required: Your lease should state that no new tenant can move in without your approval. This stops tenants from subletting or subleasing without permission.
 - Thorough Tenant Screening: Run full screenings for new people. This includes background checks, credit reports, and income verification. Screening keeps you safe from future risks. It also helps create a stable rental group.
 - Lease Addendum or New Agreement: Update the lease with a formal addendum. Or, create a new lease with the new tenant's name. This proves everyone’s rights and duties. Proper documents help if there are future disputes.
 - Update Condition Reports: Do new move-in inspections with the replacement tenant. Take photos and note any damage. This new documentation makes it clear who is responsible and can lower refund disputes later.
 
Conclusion
Multiple tenants on a lease bring opportunities and responsibilities. A thoughtful tenancy agreement for landlords, combined with proactive management, can handle shared living situations effectively. Be sure to start the tenancy with a reliable, customizable lease template from LeaseRunner today!
FAQs
Q1. Can one person break a two-person lease?
When two people sign a lease together, both are usually responsible for the whole lease. So if one wants to move out early, that person can’t just walk away from the rent or the lease terms without talking to the landlord. The rent still needs to be covered by whoever’s left on the lease, or someone new has to move in and be approved.
Q2. Can you have multiple apartments in your name?
Yes, you can have multiple apartments in your name. Each rental is a separate legal agreement, so you are responsible for paying rent and fulfilling the lease terms for every property you sign for.
Q3. Can you rent multiple apartments at the same time?
You can rent more than one apartment at once, as long as you can handle the rent and pass the landlord’s checks for each place. Some landlords might ask why, but nothing is stopping you. Just make sure you’re ready for the responsibility of managing more than one home.